Use the product and quotients rules and do a lot of tedious algebra to get #dy/dx=(3x^42x^3yy^2)/(2xyx^4)#Bernoulli Equation Bernoulli equation is one of the well known nonlinear differential equations of the first order It is written as y′ a(x)y = b(x)ym, where a(x) and b(x) are continuous functions If m = 0, the equation becomes a linear differential equation In ответы > Xy=3xy xy=2xy решите системы уравнений !
Engineering Mathematics Notes
2x^3y'=y(y^2+3x^2)
2x^3y'=y(y^2+3x^2)-Y2 2y 1 y dy = Z µ y 2 1 y ¶ dy = y2 2 2y lny, resolvemos la integral del lado derecho Z x2 lnxdx= integral por partes, tomamos u =lnxdu= 1 x dx dv = x2 dx v = 1 3 x 3) Z x2 lnxdx = 1 3 x3 lnx− Z 1 3 x3 1 x dx = 1 3 x3 lnx− 1 3 Z x2 dx = 1 3 x3 lnx− 1 9 x3 c, finalmente, la solución es y2 2 2y lny = 1 3 x3 lnx − 1 9 Solvesolve (3x^22xy^2)dx(2x^2y)dy=0 where y(2)=3;



Differential Equations Solved Examples Show That Following Differential Equation Is Not Exact 3x 2y 4 2xy Dx 2x 3y 3 X 2 Dy 0 Then Find An Integrating Factor To Solve The Differential Equation
We compute the partial derivative of a function of two or more variables by differentiating wrt one variable, whilst the other variables are treated as constant Thus The First Derivatives are f x = ∂f ∂x = 3y −3x2 f y = ∂f ∂y = 3x − 6y The Second Derivatives are f xx = ∂2f ∂x2 = −6x f yy = ∂2f ∂y2 = − 6Answer to Solve the initial value problem dy/dx = (y^2 1)/(x^2 1), y(2) = 2 By signing up, you'll get thousands of stepbystep solutions toF2x=y h 3x2=0 g y5=3 j xy=0 h 3xwhat is the slope intercept form of equation of a line with a slope of 5 and a yintercept of 8 y=5x8 what is an equation of the line in slope intercept form that passes though (2,5) and (6,3)9=b
Our services have been online for more than 8 years and have been helping nursing students at all levels with their work Through us, you will be able to access qualified and experienced support that is going to help you to get the results that you are looking forObjetivos En esta sección, aprenderás a identificar y resolver ecuaciones diferenciales de primer orden separables Concepto En la pregunta de la sección que introducía las ecuaciones diferenciales ordinarias se te pidió escribir una ecuación diferencial general a partir de un enunciado que describía el conocido modelo malthusiano de crecimiento de población en un ambiente idealFree second order differential equations calculator solve ordinary second order differential equations stepbystep
Y=3 The answer (x,y)= (1,3) To check your answer, let x=1 and y=3 in both equations and see if they balance E1) 2 (1)= (3)1 2=2 We're right for the 1st equation E2) (3)=3 (1) 3=3 We're right for both equations 2Get stepbystep solutions from expert tutors as fast as 1530 minutes Your first 5 questions are on us!Learn with Tiger how to do (3x2y/xy)(2x3y2/xy) fractions in a clear and easy way Equivalent Fractions,Least Common Denominator, Reducing (Simplifying) Fractions Tiger Algebra Solver



Q Tbn And9gcrorq9m5vhtsd4heezbi4y Tdih7bsoymobugc2xbcbneyvk96g Usqp Cau



What Is The Answer To Find The Equation Of A Straight Line Through The Point Of Intersection Of Lines 2x 3y 5 0 And 3x 4y 7 0 Which Is Parallel To The Line 2x Y 2 0 Quora
Solve the Bernoulli Differential equation 2x^3y'=y (y^23x^2)To ask Unlimited Maths doubts download Doubtnut from https//googl/9WZjCW Solve `(2x^2y^2y)dx(3xx^3y)dy=0`Free math problem solver answers your algebra, geometry, trigonometry, calculus, and statistics homework questions with stepbystep explanations, just like a math tutor



Solve The Following System Of Equations By Matrix Method 2x 3y 5z 113 X 2y 4 Z 5x Y 2 Z 3 Zigya



Solve The Graphically The Following Pair Of Linear Equation 3x Y 1 0 2x 3y 8 0
Example 5x 2 y 3 is a monomial, 4xy y 2 is a binomial, etc, Def Integral expression An algebraic expression in which no variables appear in any denominator when the expression is written in a form having only positive exponents Example The expression x 2 3x 5/3 y 1/2 is an integral expression The expression is not Def Radical Section 24 Bernoulli Differential Equations In this section we are going to take a look at differential equations in the form, y′ p(x)y = q(x)yn y ′ p ( x) y = q ( x) y n where p(x) p ( x) and q(x) q ( x) are continuous functions on the interval we're working on and n n is a real number Differential equations in this form areConsider x^ {2}2xy3y^ {2} as a polynomial over variable x Consider x 2 2 x y − 3 y 2 as a polynomial over variable x Find one factor of the form x^ {k}m, where x^ {k} divides the monomial with the highest power x^ {2} and m divides the constant factor 3y^ {2} One such factor is x3y Factor the polynomial by dividing it by this factor



2



Solve The Equations 2x 3y 1 And 3x Y 7 By Elimination Method Brainly In
Get stepbystep solutions from expert tutors as fast as 1530 minutes Your first 5 questions are on us!Y = 2 p x4 x 3 1 3(b) Solve the following separable initial value problem and give the solution explicitly as a function y(x) dy dx = 3x2 ex 2y 4 with y(0) = 1 Solution Separating the variables, integrating and completing the square gives Z 2y 24dy = Z 3x ex dx y2 x4y = x3 e c (y x2)2 4 = x3 e c (y 32)2 = x ex bc y = 2Fxx (x;y)=2 fyy (x;y)=6y fxy (x;y)=(2x3y)y =3 fyx (x;y)= ¡ 3y23x ¢ x =3 (b) g =ln(xy2)ey ysinxThen gx = 1 xy2 ¡ y2 ¢ ycosx = 1 x ycosx gy = 1 xy2 (2xy)ey sinx = 2 y ey sinx ² Partial Integral The same principle of "freezing all but one variable" is used to de &ne partial inde &nite integrals F (x;y0)= Z f (x;y0)dx = Z g(x)dx



Solve Dy Dx 2x 3y 3x 2y Youtube



Engineering Mathematics Notes
But if I expand the bracket $(xy)^2$ before integrating I will get $$\varnothing_1=\int Mdx=\int (xy)^2dx=\int (x^22xyy^2)dx=\frac{x^3}{3}xy^2x^2y$$ Wich will lead to the solution $$\varnothing=\varnothing_1\varnothing_2=\frac{x^3}{3}xy^2x^2yy=Constant$$ What is the wrong step ?Simplify (3x2y)^2 (2x3y)^2 \square!Compute answers using Wolfram's breakthrough technology & knowledgebase, relied on by millions of students & professionals For math, science, nutrition, history



Graph Graph Inequalities With Step By Step Math Problem Solver



Chapter 1 Maths 3
Question 2x3yz=3 3xy2z=2 x2y3z=1 the answer they provided us is 13/21,25/21,2/3 i do not know how to get there Found 2 solutions by Edwin McCravy, emargo19Resolver sistemas de ecuaciones por el método de eliminación 4x2y=5 y 2xy=25 A continuación Resolver sistemas de ecuaciones por el método de eliminación 4x2y=5 y 2xy=25 Nuestra misión es proporcionar una educación gratuita de2 y2x−x2 = A, 3 (y 1)ex −y2 = A, 4 x2y 3x2 y4 = A, 5 1 2 x 2(1−y )4y2 = A, 6 1 4 e 4x x2y2 siny = A, 7 x3 ysinx−y4 = A, 8 x2 2 tan −1 y = A, 9 x2 x3y3 3 y 4 = A, Toc JJ II J I Back



Solution Write The Equation Of The L Satisfying The Given Geometric Conditions L Has Y Intercept 0 2 And Is Perpendicular To The Line With Equation 2x 3y 6



Solve The Following Pairs Of Simultaneous Equations 3x Y 2 2x 3y Brainly In
(x2y2)2 i y2x2 (x2y2)2, given x , 0, y , 0 (c)f(z) = (2xy 2x) i(x2 2y y2) u x = 2y 2 v y = 2 2y equal u y = 2x v x = 2x equal)di erentiable everywhere, f0(z) = 2y 2 i(2x) (d)f(z) = x3 3x2 3xy2 3y2 i(3x2y 6xy y3) u x = 3x2 6x 3y2 v y = 3x2 6x 3y2 equal u y = 6xy 6y v x = 6xy 6y equal)di 0erentiable everywhere, f (z) = (3x2 6x 3y2) i1 dy 2y = 0 dx Definimos el factor integrante p (x) = 2 ´ factor integrante e 2dx = e2x multiplicamos la ecuacion por el factor integrante dy e2x dx 2e2x = 0 el lado izquierdo de la ecuacion se reduce a d 2x dx e y =0 separamos variables e integramos ´ d 2x ´ dx e y =0 dx c e2x y = c y = ce−2x 2 dy = 3y dx forma lineal dySolve solve (3x^22xy^2)dx(2x^2y)dy=0 where y(2)=3 How to Finish Assignments When You Can't Crunch time is coming, deadlines need to be met, essays need to be submitted, and tests should be studied for



Drill Graph The Linear Equation 1 Y 2x X 3y Ppt Download



How Do You Convert 3x 2 Y 2 X 2 2x 3y To Polar Form Socratic
Help is appreciated EditEncuentra una respuesta a tu pregunta 2x(y2)3y(y3x) porfa vor la respuesta beatrizdelacruz1976 está esperando tu ayuda Añade tu respuesta y gana puntosDifferential Equation Calculator The calculator will find the solution of the given ODE firstorder, secondorder, nthorder, separable, linear, exact, Bernoulli, homogeneous, or inhomogeneous Initial conditions are also supported Your input solve $$$ y ' \left (x \right) = x^ {2} $$$



Ex 3 6 1 I And Ii Solve 1 2x 1 3y 2 1 3x 1 2y



Differential Equations Solved Examples Show That Following Differential Equation Is Not Exact 3x 2y 4 2xy Dx 2x 3y 3 X 2 Dy 0 Then Find An Integrating Factor To Solve The Differential Equation
6 Solve the following PDE using the method of separation of variables and Fourier seriesutt =Simple and best practice solution for 2x3y=2 equation Check how easy it is, and learn it for the future Our solution is simple, and easy to understand,Consider 2x^ {2}xyy^ {2}3x3y2 as a polynomial over variable x Find one factor of the form kx^ {m}n, where kx^ {m} divides the monomial with the highest power 2x^ {2} and n divides the constant factor y^ {2}3y2 One such factor is 2xy1 Factor the



Ex 6 3 11 Solve 2x Y 4 X Y 3 2x 3y 6



If The Point 2k 3 K 2 Lies On The Graph Of The Equation 2x 3y 15 0 Find The Value Of K Studyrankersonline
Solutiony0= 2x 3y y0(1;2) = 1=3 Tangent Line y 2 = 1=3(x 1) 5 Find dy dx for the following curves (Sec 27) x 3 y = xy3 Solutiondy=dx= 3y2 3y2x3 3x2y3 3x2 y2 = 4x Solutiondy=dx= 2 y 3 6 (Sec 28 and 29) A rectangular box which is initially a cube of side length 2 inches is growing The length is increasing by 1 in/sec, the width isFree math problem solver answers your algebra, geometry, trigonometry, calculus, and statistics homework questions with stepbystep explanations, just like a math tutorX^2=2x3y y^2=2y3x / 5otvetcom



Graph A Linear Equation Graph 2x 3y 12 Solve For Y So The Equation Looks Like Y Mx B 3y 2x 12 Subtract 2x To Both Sides Y X 4 Divide Ppt Download



X 2 Dy Dx 3x 2 2xy 1 Novocom Top
Solution for Y=2x3Y=x2 equation =2Y3=Y2 We move all terms to the left (2Y3)=0 We get rid of parentheses 2Y3=0 We move all terms containing Y to the left, all other terms to the right 2Y=3 Y=3/2Step by step solution of a set of 2, 3 or 4 Linear Equations using the Substitution Method 2x3y=6,y=2/3x2 Tiger Algebra Solver Solve the following differential equation dy/dx = e^(2x) 3y and y=1 when x=0 Hint Recognize this as a firstorder linear differential equation and follow the general method for solving these and use the initial conditions to find the integration constant Solution y=(e^(2x))/5



Solve 3x 2y 11 And 2x 3y 4



Engineering Mathematics Notes
Haz clic aquí 👆 para obtener una respuesta a tu pregunta ️ cual es el resultado del desarrollo (2x3y) al cuadrado Solve for x and yTínha)(2x^2 y)(2x^2y)4x^2 y^2b)(2x^2 y)^2(2x^2y^2)c)(2x 1)(2x1)4x^2d)(2x^3y y)^2(y2x^3y)^2 Tìm kiếm câu trả lời Tìm kiếm câu trả lời cho câu hỏi của bạn



2x 3y Novocom Top



Algebra 2 Section 3 2b Quiz 3 2a Solve Using Substitution 2x Y 2 2x 3y 8 1 1 1 1 2 2 2 2 3x 4y 10 6x 3y 42 Ppt Powerpoint
Y 2 x La soluci on particular la calculamos usando y(2) = 1, es decir, 1 = kj1 4j luego k= 1=3 y la soluci on es y6 = 1 3 y2 x2 2 Encuentre la soluci on general de la ecuaci on diferencial siguiente (x p xy y)dx p xydy= 0 Solution 2 La soluci on general viene dada por p x p x p y log p x p y p = k con k2R 2 Ecuaciones diferenciales2x3y = 7, 3x2y = 4 \square!Example 10 Determine the local extrema of the function f (x) = sinx−cosx on 0,2π Solution We use the 2 nd Derivative Test First we find the critical points on the given interval f ′(x) = (sinx−cosx)′ = cosxsinx f ′(x) = 0, ⇒ cosxsinx = 0, ⇒ cotx1 = 0,



Differential Equations Solved Examples 17



2x 3y 2 X 2y 5 3x Y Myschool
3 Consider ODE(3x^2y^2x^2)dx(2x^3yy^2)dy=0Find genaral solution;State the X and Y intercepts of each function 2,3x 1,3y = 2Đức Phạm 22 tháng 7 17 lúc 1302 Ta có 2x = 3y ⇔ x = 3y 2 2 x = 3 y ⇔ x = 3 y 2 (1) 3y = 5z ⇔ z = 3y 5 3 y = 5 z ⇔ z = 3 y 5 (2) Thay (1) và (2) vào biểu thức x −y z = −33 x − y z = − 33 Ta được 3y 2 −y 3y 5 = −33 3 y 2 − y 3 y 5 = − 33 ⇔ 15y−10y6y = −330 ⇔ 15 y − 10 y 6 y



7 2 7 3 Solving By Substitution And Elimination Ppt Video Online Download



Writing Linear Equations From Slope And A Point Bingo Card
MATH 304 Linear Algebra Lecture 14 Basis and coordinates Change of basis Linear transformations5 The function f R^2~{(x,y)y=0 or y= 5x} →Rdefined byf(x,y)= x^23xy/(y^25yx)is a homogeneous ;Consider the following differential equation cos 2y 3x^2y^2 (cos 2y 2x sin 2y 2x^3y)y' = 0 Verify that the equation is exact Get more help from Chegg Solve it with our calculus problem solver and calculator



Bernoulli S Equations 2x3y Y Y2 3x If X3 Chegg Com



Solved Q2 Use Graphs To Solve The Simultaneous Equation 2x 3y 27 And 3x 2y 23 Q3 Where Does The Line Y X 15 Cross The Line Y 2 Course Hero



Http Www Mustangps Org Downloads Algebrach6practicetest Pdf



Cbse 10 Math Cbse Linear Equations In Two Variables Ncert Solutions



Solution 1 Plot The Graph Of The Equation 2x 3y 6 And 2x Y 10 And Intercept The Result 2 Plot The Graph Of The Equations 2x 4y 10 And 3x 6y 12 And Intercept The Result 3 Determin



2x 3y 2 X 2y 5 3x Y Myschool



What Is The Solution To This Ode 3x 2 4xy Y 2 Dx 2x 2 2xy 9 Dy 0 Quora



Rd Sharma Class 10 Solutions Maths Chapter 3 Pair Of Linear Equations In Two Variables Exercise 3 2



Answered Use The Graph To Answer The Next Four Bartleby



Determine Whether The Differential Equation Is Exact Chegg Com



What Is The General Solution To The Differential Equation Math 3x 2 2xy 3y 2 Mathrm D X 4xy Mathrm D Y Math Quora



Www Tau Ac Il Levant Ode Solution 6 Pdf



Chapter 5 Review Exercises



2



1



Www Lcps Org Cms Lib Va Centricity Domain 978 Unit 3 a2t optional linear sys review Pdf



Q2 Solve The Following Simultaneous Equations I 2x Y 5 3x Y 5 Ii X 2y 1



If 2x 3y 14 And 2x 3y 2 Find The Value Of Xy Mathematics Topperlearning Com 56gr6wss



How Do You Combine 3x 2y X Y 2 2x 3y X 2 Y 5x Y Y X 2 Homeworklib



How Do You Solve 2x 3y Z 1 3x Y 2z 12 And X 2y 3z 5 Socratic



If 2x 3y 12z Prove That 1 Z 1 Y 2 X Solve Fo Gauthmath



In The Figure The Sides Of A Rectangle Are Given The Len Scholr



Can Anyone Solve This 2x 3y 1 Dx 3x 2y 1 Dy 0 Quora



Ex 3 4 1 Solve By Elimination And Substitution I X Y 5 2x 3y



Chapter 1 Maths 3



Link Springer Com Content Pdf m 3a978 1 349 3 2f1 Pdf



Fill In The Blank 3x 2 4y 2x 3y



2x 3y 2 3 4 0 And 3x 2y 2 2 1 5 Find X And Y



How Do You Solve The System Y 2 3x And 2x 3y 5 By Graphing Socratic



Use Graph Paper For This Question Draw The Graph Of 3x 2y 5 And 2x 3y On The Same Axes Use 2cm 1 Unit On Both The Axes And Plot Only 3



Solve The Following Systems Of Equations Graphically 3x Y 1 0 2x 3y 8 0 Sarthaks Econnect Largest Online Education Community



If 2x 3y 13 And 3x 2y 12 Then Find X Y Scholr



Solve The Systems Of Equations By Substitution 11 2x Y 2 3x 4y 6 Solve Each System By Elimination Or Homeworklib



S3 Eu West 1 Viewx Y 7 X 3 X 2y 11 Y 4 3 X 2y 9 X 1 3x Y 2 Y 5 4 4x Y 5 X 2 X 3y 11 Y 3 5 5x 3y 8 X 2 5 X 3y 2 Y 1 5 6 4x 3y 0 X 3 X 2y 5 Y 4 Section 2 Solve The Simultaneous



Answered 4 2x 3y 5 Dx 3x Y 2 Dy Bartleby



What Do You Call The Graph Of A System Of Linear Equations In Two Variables Which Shows Only One Solution 10 Using The Graph In Item No 9 Which Course Hero



The Lines 2x 3y 5 And 3x 4y 7 Are The Diameters Of A Circle Of Area 154 Sq Units Then The Equation Of The Circle Is X 2 Y 2 2x 2y 62 X 2 Y 2 2x 2y 47 X 2 Y 2 2x 2y 47 X 2 Y 2 2x 2y 62



X 2y 1 0 2x 3y 12 0 Novocom Top



Solve The System Of Equations Graphically 3x Y 1 0 2x 3y 8 0 Mathematics Shaalaa Com



Q Tbn And9gcqpt2b1vv70to Lfdbr3ccujmyvr Vdkumxv5jjwr7ln1ajiae7 Usqp Cau



Viewlinear Simultaneous Equations Solve The Following For X Y X Y 1 2x Y 11 3x 2y 8 2x 2y 2 2x 3y 8 5x 3y 11 4x Y 2 3x Y 1 Inequalities Linear



Solutions To Implicit Differentiation Problems



3x 2 2xy 2 Dx 6y 2 X 2 3 Dy 0 Sarthaks Econnect Largest Online Education Community



Engineering Mathematics Notes



Answers 1 X Y 10 2 X Y 5 X Y 2 3x 2y 13 3 2x 3 Gauthmath



Prove That U X 2 Y 2 2xy 2x 3y Is Harmonic And Find Harmonic Conjugate V Edurev Iit Jam Question



Solve The Following Differential Equations 1 3x 2y 4 2xy Dx 2x 3y 3 X 2 Dy 0 Youtube



View Question 2x 3y 3z 3 3x Y 2z 2 3x 3y Z 2 Solve The System Of Equations



2x 2 3y 2 7 Xdx 3x 2 2y 2 8 Ydy 0 Mathematics Stack Exchange



In Problems 31 Through 42 Verify That The Given Chegg Com



2



Systems Of Equations With Elimination 4x 2y 5 2x Y 2 5 Video Khan Academy



Find X And Y If 2x 3y 2 3 4 0 And 3x 2y 2 1 1 5 Mathematics Shaalaa Com



Find The Explicit Particular Solution Of The Initial Chegg Com



The Solution Of 2x 2 3y 2 7xdx 3x 2 2y 2 8 Ydy 0 Is Given By



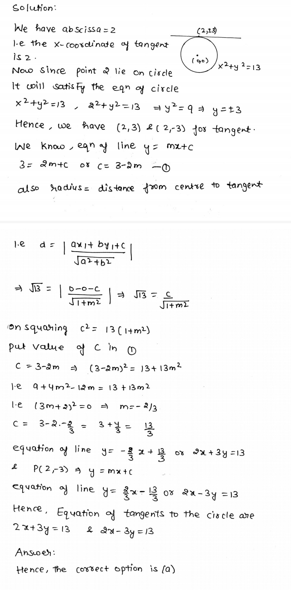
The Equation Of The Tangents To The Circle X 2 Y 2 13 At The Points Whose Abscissa Is 2 Are A 2x 3y 13 2x 3y 13 B 3x 2y 13 2x 3y 13 C 3x 2y 13 3x 2y 13 D None Of These Snapsolve



If 2x 3y 2 3 4 0 And 3x 2y 2 2 1 5 Find X And Y Youtube



2x 3y Y Y 2 3x 2 Novocom Top



Exact Equations Example 3 Video Khan Academy



Ptrckprry Com Course Ub0103 Lecture Reg Intro Sol Pdf



Engineering Mathematics Notes



Rd Sharma Class 10 Solutions Maths Chapter 3 Pair Of Linear Equations In Two Variables Exercise 3 2



2



Systems Of Linear Equations



Determine Whether The Differential Equation Is Exact Chegg Com



If X Y 2 3 Find 2x 3y 3x 5y Brainly In



Show That The Lines 2x Y 3 0 3x 2y 2 0 And 2x 3y 23 0 Are Concurrent And Find The Point Of Concurrency



Solve System Of Linear Equations Using Matrix Method 2x 3y 3z 5 X 2y Z 4 3x Y 2z 3 Mathematics Shaalaa Com



Ftbeginarrayl 4x Y 3z 11 2x 3y 2r 9 X Y Y 3e Gauthmath



Solving Systems Of Equations By Graphing Bingo Card



Solve The Pair Of The Following Equation By Substitution Method A 3x 2 5y 3 2 X 3 Y 2 13 6 Maths Pair Of Linear Equations In Two Variables Meritnation Com



Http Www2 Johnabbott Qc Ca Math Gr Cal C1ns C1 Impdf Pdf



Factorizar 2x 2 Xy Y 2 3x 3y 2 Por Aspa Doble Youtube



R D Sharma Class 10 Solutions Maths Chapter 3 Pair Of Linear Equations In Two Variables Exercise 3 2



Answered Solve The Following Equations 1 3x Y Bartleby



3


0 件のコメント:
コメントを投稿